Content:
Light sources
Light detectors
Prism as dispersive element
Difraction grating as dispersive element
Tools for shaping of light beams
Optical filters
Dispersive monochromators
Spectrographs
Characteristics of spectral devices
QUESTION: How to obtain spectrum of light?
What is spectrum of light? Spectrum of light is where all wavelengths are dispersed, or it is the distribution of light intensity as a function of wavelength or frequency. Or simply, a light spectrum shows the different wavelengths that make up the light.
So,
how to obtain it?
With spectral devices.

We have a light source, a technique to focus the light beam, we have a monochromator which disperse polychromatic light and isolates a narrow wavelength range meaning creating a monochromatic(single-wavelength) light. Then you detect it.
There are many light sources;
polychromatic light, monochromatic light, directed light beam, spreading light beam, continious light radiation, pulsed light radiation...
Our spectral device is the monochromator and our light comes from the light source. How to transfer? We use some optical components. Such as plain or curved
mirrors or lenses.
QUESTIONS: In which mirrors imaginary imagine is where, real image is where?

There are imperfections associated with lenses as well.
Chromatic aberration
Solution is called achromatic lens and formed via using same radius but different refrection index concave and convex lenses.
f = f(n) = f(λ)

Don't get confused using the lensmaker's formula. Remember, magnitude of radius' are same but the signs are different!
Spherical abberation
Due to spherical shape of mirrors and lenses, rays near the center focuses on one point but the rays near the edge focuses on different points, so instead of a sharp image
you get a blur.
Parabolic lenses are less spherical abberated but they are harder to make.
Distortion
Distortion is solved via image processing.
Astigmatism
The rays in perpendicular planes of a lens have different focal length.
System of GRIN lenses
Back to the spectral devices
Remember that in a general scheme of a spectral device we have a light source, a focuser or collector that focuses the beam, a slit for the focused beam to enter the monochromator, a monochromator, and detector.
Now thinking inside a monochromator, we have
enterance and
exit slits. And inside we simply have
focusing mirror or element and
colliminating mirror or element. They both associated with a
f-number. And crucially, f-number of these two elements in a monochromator
should be same.
What is the f-number you say?
f-number = f ÷ d
where f is the focal length and d is the diameter of the corresponding lense. Focal length being the distance from mirror to where the rays come to focus. And,
in a monochromator, slits are the location where rays are collacted, and the distance from the slit to the optical element (mirror) is the focal length!
How we obtain the spectrum of light beam?
There are ways.
If you are using
filter spectrometer, it is called
selective absorption.
If you are using
prism spectrometer, it is called
dispersion of substance.
If you are using
grating spectrometer, it is called diffraction.
If you are using
interference (FT) spectrometer, it is called interference.
Now let's go through them.ðŸ«
Filter spectrometer

We have a light-source, an updatable optical filter(?), our sample and detector. With an changable optical filter we narrow the transmitting wavelength to a narrower band and expose the sample to a single wavelength and get our result. Here's a distinction, do not confuse method and result. Filter spectroscopy is a method on how you select the wavelength, and via this you can measure mutliple aspects such as emission, absorption, EQE etc.
That's basically it about the filter spect.
Prism spectrometer

Newton basically.
White light disperse in prisms because of the refrective index of the material depends on the wavelength, and wavelengths are dispersed via how materials electrons responds to the oscillating EM field of light.
Okay let's break this down.
In our prism, we have the electronic structure. Which causes wavelength dependent polarization.
Light is an EM wave. This EM field entering the prism causes an oscillation of bound electrons. NO excitations or emissions, be careful. But
polarization.

And from Maxwell's equations, we have an refrective index expression that is frequency (therefore wavelength) dependent.

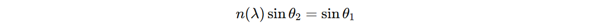
And also ofc using Snell's law:

We can know illustrate how prism disperses the white light.
I really appreciate this review. And since we are here let's go deeper and discuss polarization a little more.
POLARIZATION
When we talk about polarization we can talk about two types;
polarization of light and
polarization of matter. Polarization of light or an EM field refers to the
direction or structure of the electric field(!) of the EM wave. Like linear, optical, elliptical polarization. The E
0 vector (a complex vector indeed!) in the plane wave defines the polarization via
Jones formalism. These matrices allows us to tell about the polarization of the EM wave.

This is the plane wave expression. Also take a look: https://en.wikipedia.org/wiki/Stokes_parameters
Polarization of matter, or dielectric polarization is defined as induced dipole moment per unit volume in the material. Dipole moment is defined as
p = qd. As photons enter prism, they interact with bound photons and change the dipole moment of the system (?).

In prisms, what causes dispersion is the polarization of the matter.
Let's continue on how we obtain spectrum of light.
Grating spectrometer
When we have a constant refrective index, light travels in a straight line. When we have obstacles in the media, the light diffracts.
We use Fraunhaufer diffraction for spectral devices.
Fraunhaufer diffraction

check out: https://physics.stackexchange.com/questions/78908/difference-between-fraunhofer-and-fresnel-diffraction
https://en.wikipedia.org/wiki/Fresnel_diffraction
DIFFRACTION
Study the formulas, slits, distinctions dark and light interference etc.!!!!!!
Interference spectroscopy
Study interference!!!!
:)